跳过正文

丙加·第8章·答案

·1117 字·6 分钟·
  1. 泛型函数
    引用版本:

    template <typename T>
    void mySwap(T &a, T &b) {
        T temp = a;
         a = b;
         b = temp;
    }
    

    指针版本:

    template <typename T>
    void mySwap(T *a, T *b) {
        T temp = *a;
        *a = *b;
        *b = temp;
    }
    

    区别在于调用方式,引用:

    mySwap(x, y);  // 直接传递变量本身
    

    指针:

    mySwap(&x, &y);  // 需要传递变量的地址
    

    碎碎念:因为引用变量必须绑定一个实际的变量,所以使用引用变量的函数版本没有空指针的危害,更加安全。

  2. 阶乘函数
    (因为涉及 intdouble 等很多类型,所以也使用了模板)
    递归版本:

    template <typename T>
    T factorialR(T n) {
        if (n <= 1) return 1;
        return n * factorialR(n - 1);
    }
    

    循环(迭代)版本:

    template <typename T>
    T factorialI(T n) {
        T result = 1;
        for (T i = 2; i <= n; i++) {
            result *= i;
        }
        return result;
    }
    
  3. 斐波那契数列:

    朴素版本:

    long long fibonacciR(int n) {
        if (n <= 1) return n;
        return fibonacciR(n - 1) + fibonacciR(n - 2);
    }
    

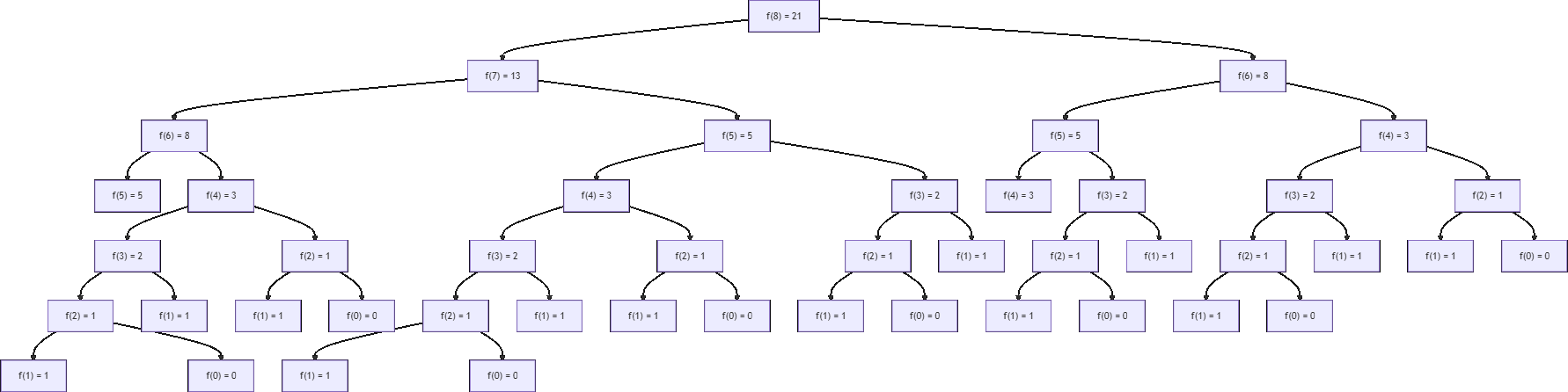
    上面的方法 return 前进行了加法运算,所以无法尾递归优化。这个方案的缺点是,如果计算 fibonacciR(5) 就会导致这样的效果:

    第八章-答案-fR 调用图

    共计 67 次调用!事实上,调用次数\(Cn\)满足:\(C(n) = 2 × F(n+1) - 1 = C(n) = 2 \times F(n+1) - 1 = 2 \times \frac{\phi^{n+1} - \psi^{n+1}}{\sqrt{5}} - 1 \approx 2 × \frac{φ^{n + 1}}{ \sqrt{5} } - 1 \text{,其中} \quad \phi = \frac{1+\sqrt{5}}{2}, \quad \psi = \frac{1-\sqrt{5}}{2}\),是指数关系!时间复杂度(时间随数据量\(n\)的变化情况)可以记作\(O(2^{n})\)——这基本上很坏的情况了!

    而尾递归优化后的版本,增加了参数来保存额外的信息:

    long long fibonacciTR(int n, long long a = 0, long long b = 1) {
        if (n == 0) return a;
        if (n == 1) return b;
        return fibonacciTR(n - 1, b, a + b);
    }
    

    调用关系:

    第八章-答案-fR 调用图

    这样就变成了线性关系了!

    然后是记忆化:

    long long fibonacciRM(int n) {
        // 静态vector用于记忆化存储,避免重复计算
        // 静态变量参见2.4
        // 或者可以使用全局变量(3.6)
        // 不推荐全局变量,这就像把oo挂在公共场所一样
        static vector<long long> fibonacciMem{0, 1, 1};
    
        if (n < 0) {
            return -1; // 错误处理
        }
    
        // 如果vector大小不够,调整大小
        if (fibonacciMem.size() <= n) {
            fibonacciMem.resize(n + 1, 0);
        }
    
        // 如果未计算过,则递归计算
        if (n > 1 && fibonacciMem[n] == 0) {
            fibonacciMem[n] = fibonacciRM(n - 1) + fibonacciRM(n - 2);
        }
    
        return fibonacciMem[n];
    }
    

    其实 vector 还需要反复扩容耗时间,这个时候用固定数组更好($f(93)$ 就超过 long long 了):

    long long fibonacciRM(int n) {
        // 静态数组,自动初始化为0
        static long long fibonacciMem[100] = {0, 1, 1};
    
        if (n < 0) {
            return -1; // 错误处理
        }
    
        // 如果未计算过,则递归计算
        if (n > 1 && fibonacciMem[n] == 0) {
            fibonacciMem[n] = fibonacciRM(n - 1) + fibonacciRM(n - 2);
        }
    
        return fibonacciMem[n];
    }
    

    最后是迭代版本:

    long long fibonacciI(int n) {
        if (n <= 1) return n;
    
        long long a = 0, b = 1;
        for (int i = 2; i <= n; i++) {
            long long next = a + b;
            a = b;
            b = next;
        }
        return b;
    }
    

    读者可以自行感受调用时间,也可以使用下面的代码定量测试:

    #include <iostream>
    #include <chrono>
    #include <functional>
    
    using namespace std;
    using namespace std::chrono;
    
    // 迭代版本
    long long fibonacciI(int n) {
        if (n <= 1) return n;
    
        long long a = 0, b = 1;
        for (int i = 2; i <= n; i++) {
            long long next = a + b;
            a = b;
            b = next;
        }
        return b;
    }
    
    // 朴素递归版本
    long long fibonacciR(int n) {
        if (n <= 1) return n;
        return fibonacciR(n - 1) + fibonacciR(n - 2);
    }
    
    // 尾递归版本
    long long fibonacciTR(int n, long long a = 0, long long b = 1) {
        if (n == 0) return a;
        if (n == 1) return b;
        return fibonacciTR(n - 1, b, a + b);
    }
    
    // 记忆递归版本
    long long fibonacciRM(int n) {
        static long long fibonacciMem[100] = {0, 1, 1};
    
        if (n < 0) {
            return -1; 
        }
    
        if (n > 1 && fibonacciMem[n] == 0) {
            fibonacciMem[n] = fibonacciRM(n - 1) + fibonacciRM(n - 2);
        }
    
        return fibonacciMem[n];
    }
    
    // 测试函数模板
    void testFibonacci(const string& name, function<long long(int)> func, int n) {
        cout << "测试 " << name << "..." << endl;
    
        auto start = high_resolution_clock::now();
        long long result = func(n);
        auto end = high_resolution_clock::now();
    
        auto duration = duration_cast<microseconds>(end - start);
    
        cout << "f(" << n << ") = " << result << endl;
        cout << "运行时间: " << duration.count() << " 微秒 (" 
             << duration.count() / 1000.0 << " 毫秒)" << endl;
        cout << "----------------------------------------" << endl;
    }
    
    int main() {
        const int n = 40;
    
        // 测试迭代版本
        testFibonacci("迭代算法", fibonacciI, n);
    
        // 测试尾递归版本
        // 这里因为TR版本是三个参数(尽管两个是默认)
        // 装不进模板所以使用lambda转换了一下
        testFibonacci("尾递归算法", [](int x) { return fibonacciTR(x); }, n);
    
        // 测试记忆递归版本
        testFibonacci("记忆递归算法", fibonacciRM, n);
    
        // 测试朴素递归版本
        testFibonacci("朴素递归算法", fibonacciR, n);
    
        return 0;
    }
    

    笔者电脑上运行的输出:

    (尾递归会被优化为迭代,而这里迭代可以转换为高速的寄存器操作;记忆递归本来每项都只需要算 1 次,所以耗时都是 0,测不出来)

    测试 迭代算法...
    f(40) = 102334155
    运行时间: 0 微秒 (0 毫秒)
    ----------------------------------------
    测试 尾递归算法...
    f(40) = 102334155
    运行时间: 0 微秒 (0 毫秒)
    ----------------------------------------
    测试 记忆递归算法...
    f(40) = 102334155
    运行时间: 0 微秒 (0 毫秒)
    ----------------------------------------
    测试 朴素递归算法...
    f(40) = 102334155
    运行时间: 984676 微秒 (984.676 毫秒)
    ----------------------------------------
    

    事实上改成 n=100 更炸裂(记得给 fibonacciMem[100] 扩容到 101!):

    测试 迭代算法...
    f(100) = 3736710778780434371
    运行时间: 0 微秒 (0 毫秒)
    ----------------------------------------
    测试 尾递归算法...
    f(100) = 3736710778780434371
    运行时间: 0 微秒 (0 毫秒)
    ----------------------------------------
    测试 记忆递归算法...
    f(100) = 3736710778780434371
    运行时间: 0 微秒 (0 毫秒)
    ----------------------------------------
    测试 朴素递归算法...
    ^C(我掐了)
    

    预计朴素递归要花:\(1.13×10^{18}\)秒,也就是\(3.6 \times 10^{10}\)年(约 360 亿年)。PS:宇宙年龄:138 亿年

  4. 字符串反转

    朴素版本:

    // 动-名命名法
    string reverse_stringR(string str) {
        if (str.empty()) return "";
    
        char last_char = str.back();
        str.pop_back();
        return last_char + reverse_stringR(str);
    }
    

    尾递归优化:

    string reverse_stringTR(string str, string result = "") {
        if (str.empty()) return result;
    
        char last_char = str.back();
        str.pop_back();
        return reverse_stringTR(str, result + last_char);
    }
    

    碎碎念

    你肯定注意到了,两次尾递归优化都是把一些初始条件和计算结果放到参数里面传递,这样大大减少了计算次数和性能开销,最重要的是,让编译器可以自动转化为迭代版本。

  5. 汉诺塔问题:

    #include <iostream>
    
    // 全局计数器
    // 如果不需要步骤也可以删掉
    static int count = 0;
    
    void move(int n, char from, char to) {
        count++;
        std::cout << count << ": Move from " << from << " to " << to << "\n";
    }
    
    void hanoi(int n, char source, char auxiliary, char target) {
        if (n == 1) {
            move(n, source, target);
        } else {
            hanoi(n - 1, source, target, auxiliary);
            move(n, source, target);
            hanoi(n - 1, auxiliary, source, target);
        }
    }
    
    int main() {
        int n = 3;
        count = 0;
        hanoi(n, 'A', 'B', 'C', count);
        return 0;
    }
    
  6. 退出多重循环

    Lambda 版本:

    int main() {
        vector<vector<string>> classes = {
            {"张三", "李四", "王五"},
            {"赵六", "孙七", "周八"},
            {"吴九", "郑十", "刘一"},
            {"陈二", "黄三", "林四"}
        };
    
        string target = "郑十";
    
        [&classes, target]() {
            for (int i = 0; i < classes.size(); i++) {
                for (int j = 0; j < classes[i].size(); j++) {
                    if (classes[i][j] == target) {
                        cout << "找到 " << target << " 在班级 " << (i + 1) 
                             << ", 位置 " << (j + 1) << endl;
                        return; // 直接退出所有循环
                    }
                }
            }
            cout << "未找到 " << target << endl;
        }();
    
        return 0;
    }
    

    标志变量版本:

    int main() {
        vector<vector<string>> classes = {
            {"张三", "李四", "王五"},
            {"赵六", "孙七", "周八"},
            {"吴九", "郑十", "刘一"},
            {"陈二", "黄三", "林四"}
        };
    
        string target = "郑十";
        bool found = false;
    
        for (int i = 0; i < classes.size() && !found; i++) {
            for (int j = 0; j < classes[i].size() && !found; j++) {
                if (classes[i][j] == target) {
                    cout << "找到 " << target << " 在班级 " << (i + 1) 
                         << ", 位置 " << (j + 1) << endl;
                    found = true;
                }
            }
        }
    
        if (!found) {
            cout << "未找到 " << target << endl;
        }
    
        return 0;
    }
    

    对比可以发现 lambda 版本更简洁、符合直觉。这也是 C++带来的便利之处。另外,大多数时候,编译器会直接将这个临时函数内嵌为循环版本,所以也没有函数调用的开销!这基本就是退出多重循环的版本答案了。

命令提示符@CommandPrompt-Wang
作者
命令提示符@CommandPrompt-Wang